2022 年汽车销量数据及分析
又到了一年一度的汽车销量数据分析时间,罗孚已为大家整理好了数据。
先附上前两年的数据:
数据来源和差异说明
数据来源
同往年一样,罗孚没有乘联会的直接数据,数据依然来自于懂车帝,只是这次不是复制,而是抓取(因为罗孚学会了 curl 和 convert json to csv),所以数据质量会更好,标准程度也会更高,后续应该会按此方法整理。
附上懂车帝的销量排行榜网址:https://www.dongchedi.com/sales,以表示对懂车帝的感谢。
同时,同事提供了一份汽车上牌量数据,这份表格带品牌和月度以及总计,但详细程度不足,所以就且当参考了吧,罗孚也会摘取出来做一定的比较。
差异检查
罗孚对比了上险量数据和新闻数据,如下:

根据新闻(来源:https://new.qq.com/rain/a/20230112A042B800),了解到“2022 年全年国内狭义乘用车市场零售销量达到 2054.3 万辆,同比小幅增长 1.9%”,2054.3 万辆数据比懂车帝数据略多,高出 0.29%,此差异已经非常小了,去年的数据差异是 0.4%,此误差可以忽略,确认此数据真实有效。
同时同上险量数据对比,差异也不到 1%,目测匹配度比较高。不过,罗孚在做上险量前 20 名品牌对比时,发现不分品牌的数据差异较大,差异在两成甚至两成以上,这就有点夸张了,只是我们不细究了,还是以懂车帝的数据为准吧。
具体的上险量数据同乘联会销量数据的差异见下表:

个人对上险量数据的差异,部分品牌大的有点匪夷所思,个人确实搞不懂了,好在没用上险量数据分析,仅供参考吧。
2022 年总体销量情况
总体销量情况分析
近 3 年的销量数据如下:

2022 年销量同比增长 2.08%,同新闻中的 1.9% 差异不大。
新能源车的销量如下:

550 万辆多,同总销量占比 26.93%,这是一个非常厉害的比例,因为 2020 年的时候,人民网还在说工信部解读 2025 年新能源汽车销售占比达到 20%,实际上 20% 的比例在 2021 年就已经达到了,只是有所争议。本文 26.93% 这个数据也存在一定的问题,因为除了纯电,还包含了混动和增程。
目测 2023 年新能源车渗透率突破 30% 基本是不用争论的事实,但具体突破多少不好说,看特斯拉急吼拉吼降价,以及小鹏跟随等,足以见得 2023 年新能源车市场腥风血雨,但应该会利于民。
月度销量图如下:

其中 4、5 月的数据明显偏低,其原因大家也是知道的。而 12 月的销量明显上升,除了年前因素外,放开应该也是一个不小的因素,预见阳康后的 2023 年应该会有进一步的销量提升。
按车辆类型分析总体销量
先普及一下“狭义乘用车”的概念,简单的来说:就是去掉了面包车的乘用车,就是狭义乘用车。至于什么是面包车?主要像五菱之光、东风小康等这种一般用来拉货的车,这些车严格来说,确实不应该归类到家用车。
车辆类型共分为三类:轿车、SUV、MPV。再细分基本就是按大、中、小以及微型等进行细分了。
总体比例如下:

轿车最多,占比超过一半,SUV 也差不多占了一半,而 MPV 基本是商务车范畴了,占比 4% 是可以理解的。
在轿车和 SUV 销量中,紧凑型超过了一半,而轿车中的微型车占比也不小,应该是五菱 MINIEV 贡献了不小的力量,而 MPV 基本以中大型为主,毕竟商务接待的话,大才能体面嘛。
具体数据表格如下:

按月度销量统计后的图:

MPV 的柱子高度基本看不见,毕竟买 MPV 的确实是少数。轿车比 SUV 略多,国内喜欢 SUV 的确实非常的多,特别是特斯拉,model Y 的价格和 model 3 相当,自然很多人去买 model Y 了。
基于品牌、车厂、车系的销量数据分析
品牌销量数据
总体份额饼图如下:

大众是将上汽大众和一汽大众的销量合并了,所以排名第一,丰田、本田也都有合并。但不得不说,比亚迪确实迅猛。
年销量超过 5 万辆的品牌共 53 个,具体(含月度)如下:

这 53 名的销量总和占比 96.05%,看来 5 万年的年目标实在是太小了。年销量 10 万辆以上品牌的销量总和占比 91.45%。
而年销量 20 万辆以上品牌,数量共 23 个,数量占比 20.72%,而其销量总和占比 79.97%。行业中的二八法则无处不在,去年也提到了二八法则,看来很灵验,也许以后会往一九方向靠拢。
最后比拼销量 50 万辆以上,品牌共 13 个,销量占比 66.34%,而 100 万辆以上是 4 个,销量占比 34.91%。
车厂销量数据
上一品牌销量数据是按品牌维度来分析的,对于合资车来说,存在数据合并,比如大众、丰田、本田等,毕竟该品牌不止一个合资公司嘛,而对于国产车又由于多品牌经营,实际上会存在拆分,比如长城的哈弗、欧拉等,吉利的几何、领克等,奇瑞还拆分成了奇瑞和奇瑞新能源,这种拆分导致不太能看清具体的车厂,所以我们从车厂维度再看一遍数据。
总体份额饼图:

年销量超过 5 万辆的车厂共 51 家,具体(含月度)如下:

上面的数据似乎看的稀里糊涂,不是很过瘾,好吧,罗孚搬出 2021 年的数据来做一下比较吧:

这样看确实清晰明了许多。
不得不说,比亚迪简直就是一匹黑马,上升 12 名直接冲进第一,出乎意料,销量增幅 152.92% 没有第二个对手了吧(太小体量的不算),这一下子要蚕食多少车厂的份额,要让多少车厂增幅为负呢?所以,比亚迪如此迅猛之下,加上 2022 环境如此之差,能够正增长的车企都是非常优秀的企业。
跌幅比较大的有东风日产、上汽通用五菱、长城汽车、上汽通用别克、上汽集团、东风本田等,这些车企销量下跌是有感觉的,走在大街上就能感受到。东风日产的轩逸虽然仍然销量第一,42 万销量同去年下降近 10 万,其余车系下降 10 万多,总体跌幅超过两成,排名下跌也比较正常了。而通用五菱的 MINIEV,虽然销量同去年持平,但今年有些政策卡了 MINIEV 的脖子,加上其他车系没有起来,排名下跌也较大。长城的车自从欧拉新闻后,基本没什么声音了,而找了一下长城汽车如何挺过明年的新闻,发现已经是 2020 年的新闻了,下跌幅度较大也算能理解了。
涨幅方面比较有意思,广汽丰田和一汽丰田拉开了差距,广汽丰田销量提升 10 万多,增幅 15%+,销量排名提升 3,而一汽丰田销量同比下降了近 5%,结果排名还提升了 2。同时,华晨宝马销量同去年持平,结果排名也提升了 2 个名次。而特斯拉虽然增幅达 37%+,销量也增加了近 12 万辆,结果排名也就增加个 2,加上据说 2022 年没有完成目标,2023 年开启大降价也就可以理解了。这个涨幅说明,比亚迪对销量蚕食显著,下跌的车企跌的也比较惨,越是底部的车厂想排名上升,销量要有较大比例的提升才行,2023 看起来腥风血雨难免。
各品牌下的车系销量分析
先看一下销量能够达到 20 万辆/年的车系:

其每月销量趋势如下图:

本想再做一下各车系图表的,但由于品牌够多车系更多,每一个品牌列举一下车系,这活很累很没效果,罗孚前年做过一次,仅仅是做图表就做了大半夜,今年大家自己按需自己做吧,但给个示例。
比如比亚迪,在车系分析表中,找到这个品牌,就可以看到各个车系的每月具体销量数据了:

根据这个表,又可以每月销量柱状图,可以了解该车系的每月销量起伏,如下图:

新能源汽车销量分析
新能源品牌销量数据
先把销量大于 10 万的,以及即便不到 10 万但知名度比较高的新能源品牌给列出来,销量和排名如下:

具体的每月数据如下:

我们再看一下每月的销量数据趋势:

这个数据好像没法看,因为比亚迪的数据,简直太高了,而且一直在向上突破,从年初不到 10 万辆,到第四季度全面超越 20 万辆,确实太厉害了。旁边的特斯拉可以看到明显的起落,比如 4 月 5 月基本没有销量,说明上海对特斯拉的销量影响太大了。对比两者的曲线,说明特斯拉的销量对超大城市的依赖还是非常高的,而比亚迪反而没有这个局限性。
去掉比亚迪、特斯拉、五菱后,我们看一下我们大众认知的新能源品牌趋势图:

这个图比上图看起来没那么突兀了。哪吒第四季度不是很给力,不知道出了什么问题,理想汽车第四季度销量很漂亮,整年数据都不错,难怪能拿下魏晓丽的头牌。蔚来的曲线曲率接近理想,而小鹏的曲线就没那么漂亮了,看上去第四季度表现不佳,零跑也有类似的情况。问界和极氪也基本都是向上的曲线,趋势较佳。威马汽车和 ARCFOX 就比较尴尬了,第四季度基本没有销量,一个是因为自身经营问题,另一个不知道什么问题。飞凡和智己有点难兄难弟的味道,2023 年再看看吧。阿维塔刚刚起步,静待 2023 吧。
新能源车系销量数据
品牌比较完了,车厂就不用比较了,因为新能源车里的合资车厂基本不用看,排名第 6 的大众,我们也知道是 ID 系列,但反响似乎一般般,不值得再做拆分。
但车系还是要看看,通过销量的好坏分析,也应该可以给我们日常生活中购买新能源车提供一定的参考。
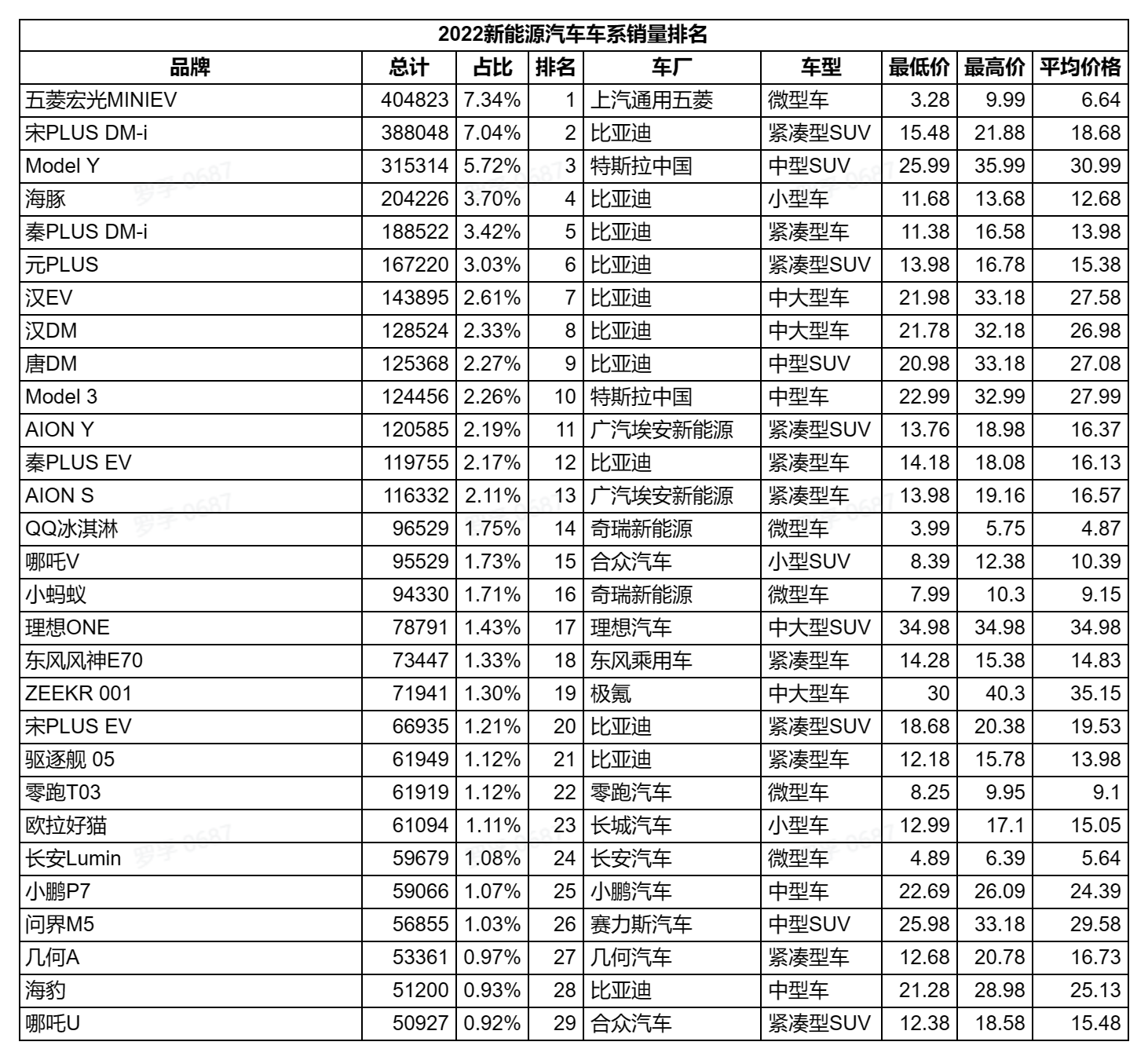
我们取 5 万以上销量的车系吧:

前 10 名被五菱、比亚迪、特斯拉承包了,而销量过 10 万的也就 13 个车系,多了一个广汽埃安,而比亚迪则占了 8 个名次,比亚迪直接承包了 6 成以上的名次。
这个表中的销量,即年销量大于 5 万销量的车系,合计拿走了 66% 的新能源汽车销售份额。而 10 万辆以上销量品牌,销量占比 46%,这里比亚迪占了这部分销量的 57.54%,即 10 万辆以上销量的车系,比亚迪拿走了近 6 成。
很难想象,比亚迪是如何做到的,2021 年都没有这样的爆发,2022 年直接不声不响的干到了第一,而且不像五菱那样靠 MINIEV 撑起独角戏,直接全车系爆发,这是一件完全无法想象的事情,这背后一定值得深思和学习。
我们熟知的造车新势力魏晓丽,有理想 ONE 和小鹏 P7 上榜,不过两者销量差近 2 万,差距不小,而蔚来,销量最好的是 ES6,但仅为 4.2 万辆,比小鹏 P7 少 1 万 7,似乎又掉了一个档次,而紧随蔚来 ES6 之后的,就是理想的 L9 和小鹏的 P5,都是差不多 3.9 万辆左右,追上蔚来 ES6 看上去指日可待。多说一句,魏晓丽的车系数量是:蔚来 6 款,小鹏 4 款,理想 3 款。有能力就学比亚迪,全车系爆发,没能力就学理想,少而精。
另外,本表格还附上了车辆分类以及最低价最高价,供各位参考。
最后
2022 年,在疫情比较严重的年份,汽车整体销量仍然有微弱的同比增长,实属不易。
在传统汽车领域,虽然大众、丰田、本田等合资车企仍然是头部玩家,但国产的比亚迪无疑是一批黑马,不仅仅是新能源车的领跑者,更是销量领跑的车厂(按车企),其 150%+ 的增长速度着实让人大跌眼镜更让人眼红。
新能源汽车领域,比亚迪无需多言,特斯拉销量也有不小的增长,去年销量第一的五菱没能保住名次,直接跌到了第三。而魏晓丽,去年排名是小鹏、蔚来、理想,今年已经是理想、蔚来、小鹏了,不过都轻松跨过了 10 万销量的大关。
看着这些数据,很是让人感慨。由于个人仅从事于汽车零部件行业,所以对此销量数据的感觉和分析还是不足的,希望这份数据能给行业中的更多同学带来益处。
最后说一下本文数据:直接访问飞书表格(汽车销量 2022-RoverTang 整理),即可进行浏览。公众号文章则点击阅读原文即可直达。
但由于飞书对外文档的统一设置,该文档无法直接下载,所以罗孚整理了一份离线 Excel,存放于腾讯文档供大家下载,不过,需要 10 微信豆哦,也算是测试大家对原始数据的需求了,更算是支持罗孚辛苦的手工活吧,当然,如果打赏杯咖啡,那就更有爱啦。
对于 2022 年全年汽车销量数据,你有什么样的看法?欢迎一起交流。
本文飞书文档:[20230118]2022 年汽车销量数据及分析
支付宝
微信